PHT-USG Module
Software package for geochemical reactions during groundwater transport
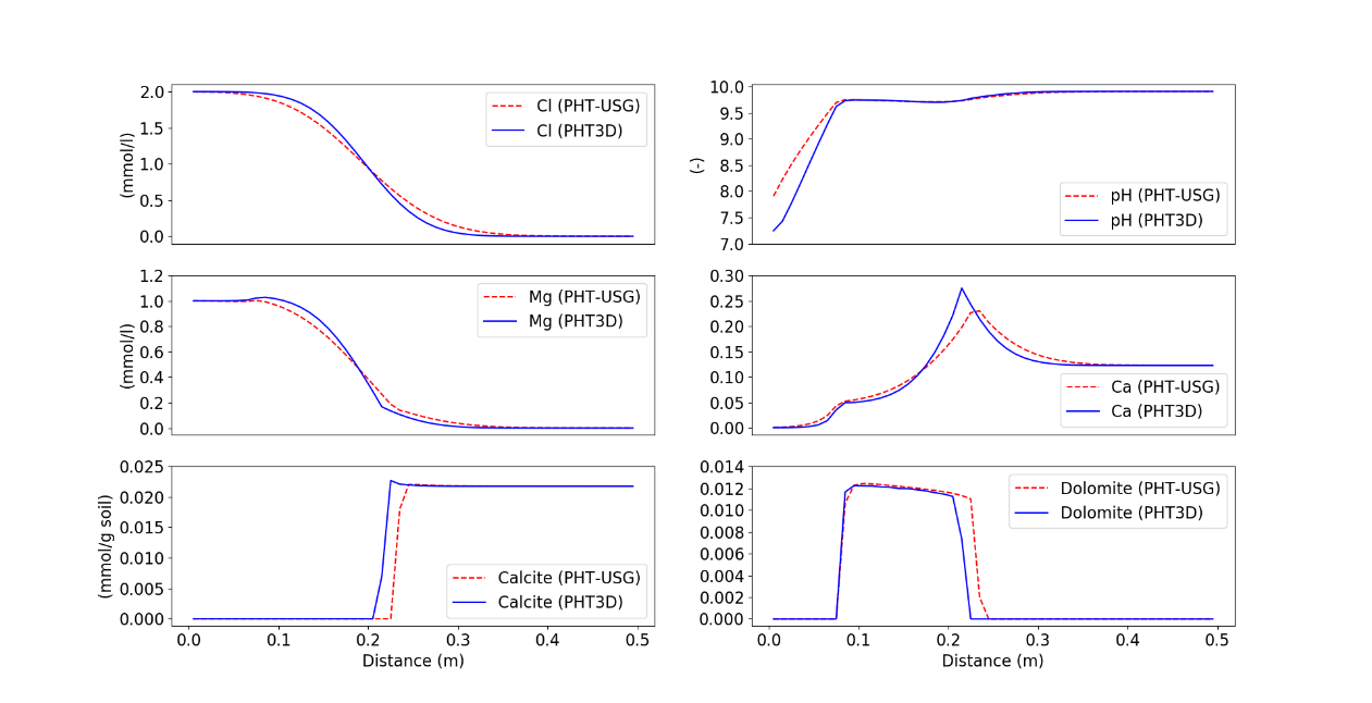
PHT-USG is a coupling of USG-Transport with PHREEQC, to provide an unstructured transport framework for solving geochemical reactions in the subsurface. Specifically, the PHT-USG module of the Basic Transport (BTN) package couples the USG-Transport code that solves for flow and transport of heat and solute species using an unstructured grid, with PHREEQC, the U.S. Geological Survey (USGS) geochemical code for the quantification of reactive processes. This version of PHT-USG implements PHREEQC-2 (Release 2.17) with USG-Transport Version 1.4.0 which includes transport of solutes and heat.
